Sound and distance − Sound pressure and sound intensity

Current version of the page has been reviewed and is approved ().


The Author of this original article can be found in "Based on..."




How does distance affect sound? No frequency dependence.
How do high frequencies affect sound? Frequency dependence.

Sound Pressure p and the Distance r


There is no
noise decrease
or sound
drop per meter
. We get a
sound level drop
of 6 dB per
doubling of distance
. Sound power or sound power level has nothing to do with the distance from the sound source.

Incidentally, the sound pressure p doesn't decrease with the square of the distance from the sound source (1/r²). This is an often-told and believed wrong tale.
Sound power or sound power level has nothing to do with the distance from the sound source.
Thinking helps: A 100 watt light bulb is emitting constantly the same power. That is really the case - no matter if in 1 m, in 10 m, or even in 100 distance. These emitted watts don't change with distance. They stay in the source. Sound power is the distance independent cause of this, whereas sound pressure is the distance-dependent effect.
In a direct field or free field, the sound level (SPL) of a spherical wave decreases with doubling of the distance by (−)6 dB.

The sound pressure decreases in inverse proportion to the distance, that is, with 1/r from the measuring point to the sound source, so that doubling of the distance decreases the sound pressure to a half (!) of its initial value - not a quarter.

The sound intensity decreases inversely proportional to the squared distance, that is, with 1/r² from the measuring point to the sound source, so that doubling of the distance deceases the sound intensity to a quarter of its initial value.

Sound pressure
(
sound field quantity
) is not
sound intensity
(
sound energy quantity
).   I ~ p2.

Loudness is as a psychological correlate of physical strength (
amplitude
) is also affected by parameters other than sound pressure, including frequency, bandwidth and duration.

Sound means here "sound pressure deviations" as
sound field quantity
(
1/r distance law
).

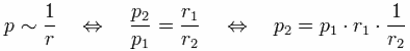
Given: Reference distance r1, an other distance r2, and sound pressure p1 − Needed the other sound pressure p2.

DistanceSoundPressure

Sound Intensity I in the Distance r




Sound means here "sound intensity deviations" as
sound energy quantity
(
1/r² square law
).
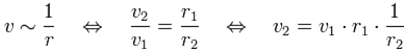
Given: Reference distance r1, an other distance r2, and sound intensity I1 − Needed the other sound intensity I2.

DistanceSoundIntensity

An "unclear" statement: The "sound" decreases with the square of the distance. Which sound exactly?
Of course the sound that we hear as particle displacement ξ, sound pressure p, acoustic intensity I, acoustic power Pac, particle velocity v, sound energy density w.
Is that really the case?

Sound pressure is not intensity

Differentiate: Sound pressure p is a "
sound field quantity
" and sound intensity I is a "
sound energy quantity
". In teachings these terms are not often separated sharply enough and sometimes are even set equal. But I ~ p2.
The sound power does not decrease with distance.

Changing of sound power with distance is nonsense

Question: How does the sound power decrease with distance"? Answer: "April fool - The sound power does not decrease (drop) with distance from the sound source."

Levels of sound pressure and levels of sound intensity decrease equally with the distance from the sound source.
Sound power
or
sound power level
has nothing (!) to do with the distance from the sound source.
Thinking helps: A 100 watt light bulb has in 1 m and in 10 m distance really always the same 100 watts, which is emitted from the lamp all the time.
Watts don't change with distance.
A frequent question: "Does the sound power depend on distance?" The clear answer is: "No, not really."
We consider sound fields in air which are described by the scalar quantity p (sound pressure) and the vector quantity v (sound velocity) as a sound field quantity.

Sound pressure    ≠    Sound intensity


p_2=p_1\cdot {r_1 \over r_2}
I_2=I_1 \cdot \left( r_1 \over r_2 \right)^2
I \sim p^2
Where:
  • p1 = sound pressure 1 at reference distance r1 from the sound source
  • p2 = sound pressure 2 at the other distance r2 from the sound source
  • I1 = sound intensity 1 at reference distance r1 from the sound source
  • I2 = sound intensity 2 at the other distance r2 from the sound source

Sound pressure formula  ≠  Sound intensity formula


2
{p_2\over p_1} = {r_1 \over r_2}
{I_2 \over I_1} = { \left( {r_1 \over r_2}\right)^2 }
Distance at sound pressure and distance at sound intensity
2
r_2 = r_1 \cdot { p_1 \over p_2 }
r_2 = r_1 \cdot \sqrt { I_1 \over I_2 }

Distance to the Sound Source

Distance-related decrease of sound

SoundPressureDistance

Sound means here sound pressure as
sound field quantity
.
Given: Sound pressure p1, p2, and reference distance r1 − Needed the other distance r2.

SoundIntensityDistance
The sound pressure decreases with 1/r at a distance from the sound source.
The sound intensity drops with 1/r2 at a distance from the sound source. This is often confused and misunderstood because of the principal difference between the sound pressure as a sound field quantity and the sound intensity as a sound energy quantity is not known.
The ear drums of our hearing and also the diaphragms of the microphones are moved effectively by the sound pressure or the sound pressure level. Sound engineers should consider this sound pressure as sound field quantity (size) more precisely; see: Sound pressure and Sound power − Effect and Cause
Pressure as field quantity is never intensity as energy quantity.

Formulas to calculate the sound pressure p or the sound intensity I in dependence of the distance r to a sound source.

Decrease in level of sound pressure and sound intensity with distance

Inverse distance law 1/r for sound pressure


Distance law for sound field quantities (The graphs shown are normalized):
  • [TAB]
  •  Distance ratio | Sound pressure p ~ 1/
  • 1 | 1/1 = 1.0000
  • 2 | 1/2 = 0.5000
  • 3 | 1/3 = 0.3333
  • 4 | 1/4 = 0.2500
  • 5 | 1/5 = 0.2000
  • 6 | 1/6 = 0.1667
  • 7 | 1/7 = 0.1429
  • 8 | 1/8 = 0.1250
  • 9 | 1/9 = 0.1111
  • 10 | 1/10 = 0.1000

Inverse square law 1/r2 for sound intensity



  • [TAB]
  •   Distance ratio | Sound intensity I ~ 1/r2
  • 1 | 1/1² = 1/1 = 1.0000
  • 2 | 1/2² = 1/4 = 0.2500
  • 3 | 1/3² = 1/9 = 0.1111
  • 4 | 1/4² = 1/16 = 0.0625
  • 5 | 1/5² = 1/25 = 0.0400
  • 6 | 1/6² = 1/36 = 0.0278
  • 7 | 1/7² = 1/49 = 0.0204
  • 8 | 1/8² = 1/64 = 0.0156
  • 9 | 1/9² = 1/81 = 0.0123
  • 10 | 1/10²=1/100 = 0.0100

Sound Level L and the Distance

Distance-related decrease of sound level


Sound is here the sound level, whether it is the sound pressure level or the sound intensity level.

DistanceSoundLevel


Calculation of the distance r2 where we get the specific sound level L2.

SoundLevelDistance


Formulas to calculate the sound level L in dB (sound pressure level or sound intensity level) in dependence of the distance r from a sound source.

Often we talk only of sound level. However, sound pressure as a sound field size is not the same as sound intensity as a sound energy size.

Levels of sound pressure and levels of sound intensity decrease equally with the distance from the sound source.
Sound power
or
sound power level
has nothing (!) to do with the distance from the sound source.
Thinking helps: A 100 watt light bulb has in 1 m and in 10 m distance really always the same 100 watts, which is emitted from the lamp all the time.
Watts don't change with distance.

What does sound level mean?

A reduction of the sound power level of the sound source by 6 dB is resulting in a reduction of the sound pressure level and the sound intensity level at the location of the receiver by also 6 dB, even if the sound power drops to a factor of 0.25, the sound pressure dropsto a factor of 0.5 and the sound intensity drops to a factor of 0.25. The reference value for the sound level was chosen so that with a characteristic acoustic impedance of Z0 = ρ · c = 400 N·s/m3 the sound intensity level results in the same value as the sound pressure level. We therefore simply speak of the "sound level" and leave it open whether sound pressure level or sound intensity level is meant.
Sound engineers and sound protectors ("ear people") think by the short word "
sound level
" simply of "
sound pressure level
" (SPL) as
sound field quantity
.
Acousticians and sound protectors ("noise fighters") mean by the short word "
sound level
" probably "
sound intensity level
" as
sound energy quantity
.
Equating
sound pressure
with
sound intensity
must cause problems.   I ~ p2.

Sound pressure level and sound intensity level

To use the calculator, simply enter a value.
The calculator works in both directions of the sign.

Sound field size
SoundFieldSize

0 dB ≡ 0.00002 Pa and 1 Pa ≡ 94 dB

Sound energy size
SoundEnergySize

0 dB ≡ 0. 000000000001 W/m² and 1 W/m² ≡ 120 dB

2
\widetilde p = p_0 \cdot 10^{L_p \over 20} \text { Pa}
L_p=20\log_{10} \left( \widetilde p \over p_0 \right) \text { dB}

Threshold of hearing = Reference sound pressure p0 = 20 μPa = 2 · 10−5 Pa ≡ 0 dB     Pa = N/m2

2
I=I_0\cdot 10^{L_I \over 10} \text { W/m}^2
L_I = 10 \log_{10} \left( I\over I_0 \right) \text { dB}
Threshold of hearing = Reference sound intensity I0 = 1 pW/m2 = 10−12 W/m2 ≡ 0 dB


Pressure, velocity, and intensity of the sound field near to and distant from a spherical radiator of the zeroth order

For a spherical wave:
The sound pressure level (SPL) decreases with doubling of the distance by (−)6 dB. The sound pressure falls 1/2 times (50%) of the sound pressure of the initial value. It drops with the ratio 1/r of the distance.

The sound intensity level decreases with doubling of the distance by (−)6 dB. The intensity falls 1/4 times (25%) of the sound intensity of the initial value. It drops with the ratio 1/r2 of the distance.   

A spherical wavefront is formed under the assumption of idealized conditions, such as a spherical radiator of zero order (ie, a "breathing" sphere) as a source for radiation in a homogeneous isotropic medium, usually air.
For the dropping of sound pressure p and of particle velocity v we get in the far field: (r is the distance from the measurement point to the sound source).

All sound field sizes decrease in the far field after the 6-dB-distance law 1/r.
Exception: The sound velocity goes with 1/r² in the near field . That is, the size values are halved by distance doubling. The sound intensity increases as the sound energy size is proportional to the square of the distance from the sound source decreases permanent from the sound source. Since the radiated sound power from the sound source as sound intensity is distributed on a growing area with the distance, the sound intensity falls off in the same proportion as the area grows larger.

The total radiated sound power remains stable in the theoretical model on an envelope to the spherical sound source, that is, power is independent of the distance r to the sound source.

3
Where:
Sound power Pak in W, sound intensity I in W/m², distance from measuring point r in m, and area A in m².   

Sound engineers and sound designers ("ear people") are mainly interested in sound field sizes, and therefore consider the sound pressure drop at distance doubling.

Acousticians and sound protectors ("noise fighters") are mainly interested in sound energy sizes, and therefore consider more the active intensity increase at distance doubling.

All persons consider together the same line!  Is this not beautiful? Nevertheless, the drop in sound pressure goes with 1/r and the decrease in sound intensity with 1/r2. This should be understood all right.
If we are a sound engineer to review the sound quality by ear, then think of the sound waves, which move the eardrums effectively by the sound pressure as sound field size. There is also the advice: Try to avoid to use the words sound power and sound intensity as sound energy sizes.
We do not hear the air pressure changes as such, but the sound pressure at each ear, which is superimposed to the air pressure.

Some more useful links:
In audio, electronics and acoustics use only the word "damping" and not the wrong word "dampening".
"damping" means:
1. a decreasing of the amplitude of an electrical or mechanical wave.
2. an energy-absorbing mechanism or resistance circuit causing this decrease.
3. a reduction in the amplitude of an oscillation or vibration as a result of energy being dissipated as heat.
"dampening" means:
1. To make damp.
2. To deaden, restrain, or depress.
3. To soundproof.
Notice: Damping is energy dissipation and dampening is making something wet.