Klirrfaktor

Current version of the page has been reviewed and is approved ().


Der Klirrfaktor ist ein Maß dafür, wie stark ein Audio-System, z.B ein Lautsprecher oder Verstärker, ein Signal verzerrt.5 Er beschreibt den Anteil neuer Frequenzen (Obertöne bzw. harmonische Obertöne), die durch die nichtlineare Verzerrung eines Systems einem sinusförmigen Signal mit einer bestimmten Grundfrequenz hinzugefügt werden.4 Ein möglichst niedriger Wert des Klirrfaktors gilt demnach meist als primäres Gütemerkmal für eine transparente und originalgetreue Signal-Reproduktion.4


Grafik

Abb. 1: Entstehung von Harmonischen durch ein nichtlineares Übertragungssystem

Definition und Hintergrund

Der Klirrfaktor beschränkt sich auf nichtlineare Verzerrungen. Das bedeutet, die Kennlinie ist nichtlinear, wodurch ein sinusförmiges Eingangssignal zu einem Ausgangssignal führt, das nicht mehr rein sinusförmig ist und zusätzliche Frequenzkomponenten, sogenannte harmonische Obertöne, enthält. Die Obertöne sind ganzzahlige Vielfache der Grundfrequenz im Gegensatz zu der linearen Verzerrung, bei der lediglich die Amplitude und Laufzeit beeinflusst werden, ohne weitere Frequenzen zu erzeugen. 3
Der Klirrfaktor beschreibt dementsprechend, wie stark ein solches Signal mit Obertönen angereichert wird. Somit ist es ein Maß für die Klangqualität für Mikrofone, Verstärker, Audio Interfaces, Lautsprecher etc., sofern eine höchstmögliche Klangtreue Aufnahme/Wiedergabe angestrebt wird.
Durch eine starke nichtlineare Verzerrung können hohe und schrille Frequenzanteile entstehen, wodurch es “schrill oder klirrend” klingen kann. Der Klirrfaktor k ist ein Spannungsverhältnis (< 1) und wird in dieser Form in Prozent angegeben. 4

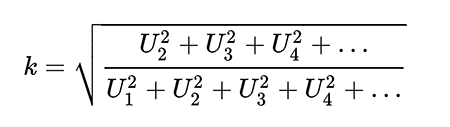
Mathematische Definition

Der Klirrfaktor lässt sich mathematisch wie folgt ausdrücken:


*100 für Prozentangabe

k = Klirrfaktor
U₂, U₃, ... = Spannung der neu entstandenen Harmonischen als Effektivwerte
f = Frequenz des Messtons [Hz]


Der Klirrfaktor bzw. Gesamtklirrfaktor k ist mit dieser Formel mathematisch definiert als das Verhältnis des Effektivwertes aller Verzerrung-Produkte (Harmonischen) zum Effektivwert des verzerrten Gesamtsignals. 1
In der Praxis wird zur Vereinfachung oft nur eine begrenzte Anzahl n von Harmonischen berücksichtigt, z.B. bis zur 5. oder 10. Ordnung, da hohe Harmonische in der Regel in den meisten Audiosystemen aufgrund der begrenzten Bandbreite und Filterung so klein sind, dass sie vernachlässigt werden können.

Klirrdämpfungsmaß

Das Klirrdämpfungsmaß ist ein logarithmisches Maß, ausgedrückt in Dezibel (dB). Es beschreibt, um wie viel die Verzerrungen leiser (gedämpft) sind als das Nutzsignal.

Abb. 3: Klirrdämpfungsmaß-Formel






ak= Klirrdämpfungsmaß
k= Klirrfaktor



Beispiel: Ein Klirrfaktor von k= 1% (0,01) entspricht einem Klirrdämpfungsmaß von 40 dB.
Vorteil: Die dB-Skala ist in der Audiotechnik intuitiver und entspricht eher der menschlichen Wahrnehmung.1, 2

In Normen der Studiotechnik werden häufig Grenzwerte unter -60 dB (0,1%) gefordert, um eine nahezu transparente Signalübertragung sicherzustellen (DIN IEC 60268-3. 20218) 2

Total Harmonic Distortion

THD steht für Total Harmonic Distortion (Gesamtverzerrungsfaktor oder Oberschwingungsgesamtverzerrung) und misst die harmonischen Verzerrungen eines Signals durch Oberschwingungen relativ zur Grundschwingung.
THD beschreibt also das Verhältnis der RMS-Werte aller Oberschwingungen zum RMS-Wert der Grundschwingung und wird  in Prozent angegeben[6].

Abb. 4: Formel THD








Klirrfaktor vs. THD & THD+N

Oft wird der Klirrfaktor mit dem englischen Akronym THD (total harmonic distortion) gleichgestellt, allerdings gibt es einen Unterschied.
Der Klirrfaktor ist das Verhältnis des Obertonanteils zum Gesamtsignal (Angabe in %), während THD das Verhältnis des Obertonanteils zum Grundtonanteil (Angabe in % oder dB) darstellt.
Bei geringen Verzerrungen nähern sich die Werte von Klirrfaktor und THD sehr nah an, wodurch sie oft durcheinander geraten. Sobald die Verzerrung aber zunimmt, wird der Unterschied größer.

Die Angabe THD+N (Total Harmonic Distortion plus Noise) berücksichtigt bei der Berechnung nicht nur die Frequenzen der Obertöne, sondern das gesamte Spektrum. Also auch die Frequenzbereiche zwischen den einzelnen Harmonischen. Auf diese Weise werden jegliche Nebengeräusche mit erfasst, z.B. Grundrauschen in einem System. Ein anderes Beispiel wäre ein defekter Lautsprecher, der bei Membranbewegungen ein kratzendes Geräusch von sich gibt ("Rub and Buzz"). 

Minimierung

Einer der wichtigsten Methoden zur Minimierung des Klirrfaktors in der Verstärkertechnik ist die Gegenkopplung (Negatives Feedback). Hierbei wird ein kleiner Teil des (verzerrten) Ausgangssignals invertiert und auf den Eingang zurückgeführt. Die Verzerrungen löschen sich dadurch teilweise aus. Eine zu starke Gegenkopplung kann aber andere Probleme, wie z.B. Transient Intermodulationsverzerrung verursachen.1
Darüber hinaus können auch symmetrischer Schaltungsaufbau, hochwertige Bauteile mit linearem Kennlinien-Verhalten und eine stabile Spannungsversorgung den Klirrfaktor deutlich reduzieren. In digitalen Audiopfaden werden nichtlineare Verzerrungen zusätzlich durch Dithering und hochauflösende Quantisierung minimiert.4

Video

Klirrfaktor berechnen (Tonsignal) | Elektrotechnik Tutorial (wer findet den Fehler in der Formel ; - ) ?)



Fazit

Der Klirrfaktor und seine Messung sind ein unverzichtbares Werkzeug zur Bestimmung der Signaltreue von Audiogeräten. Er beschreibt den Anteil unerwünschter Oberschwingungen, die durch das Gerät erzeugt werden.
Während extrem niedrige Werte (z.B. < 0,01%) technisch beeindruckend sind, ist für die Praxis (besonders bei Lautsprechern) meist der THD+N-Wert aussagekräftiger.
Es sind jedoch weitere und komplexere Analysen notwendig, um das Verhalten eines Geräts bei komplexen Musiksignalen, anstatt nur bei reinen Sinustönen, vollständig zu bewerten.

Quellen und Referenzen

[1] "Handbuch der Tonstudiotechnik - Band 1", 8. Aufl. Walter de Gruyter GmbH, Berlin/Boston - Michael Dickreiter ISBN: 9783110289787
[2] https://sengpielaudio.com/Rechner-klirr.htm - Eberhard Sengpiel: Umrechner von Dezibel in (%) und zurück - Abgerufen am 8.11.25
[3] http://www.hifimuseum.de/a-physik-grundbegriffe-2.html - Deutsches HiFi-Museum: Physik. Grundbegriffe 2 - Abgerufen am 12.11.25
[4] https://www.elektroniktutor.de/elektrophysik/verzerrt.html - Detlef Mielke: Signalverzerrung und der Klirrfaktor - Abgerufen am 8.11.25
[5] https://www.delamar.de/faq/klirrfaktor-31992/ - Felix Baarß - Was du über den Klirrfaktor wissen musst - Abgerufen am 8.11.25
[6] https://de.electrical-installation.org/dewiki/Gesamtverzerrungsfaktor_(THD) - Abgerufen am 17.12.25